Кабінет міністрів України вперше самостійно оприлюднив зарплати всього керівництва уряду, міністрів, заступників міністрів. Раніше таку інформацію надавали лише на запити ЗМІ, або ж її можна було знайти в річних деклараціях чиновників.
У січні прем’єр-міністру Олексію Гончаруку нарахували майже 42 тис. грн зарплати, “чистими” на руки отримав майже 33,8 тис. грн. Нараховану премію в 20 тис. грн мають виплатити в лютому (як і іншим посадовцям Кабміну).
Віцепрем’єр-міністр з питань європейської та євроатлантичної інтеграції Дмитро Кулеба отримав 33,8 тис. грн (без податків уже). Премію в 17 тис. грн також мають виплатити в лютому.
Віцепрем’єр-міністр – міністр цифрової трансформації Михайло Федоров за перший місяць 2020 року “чистими” отримав 27,7 тис. грн, ще 17 тис. грн премії буде виплачено в лютому.
Міністр Кабміну Дмитро Дубілет від премій та надбавок відмовився, за січень на картку йому прийшло 12,7 тис. грн.
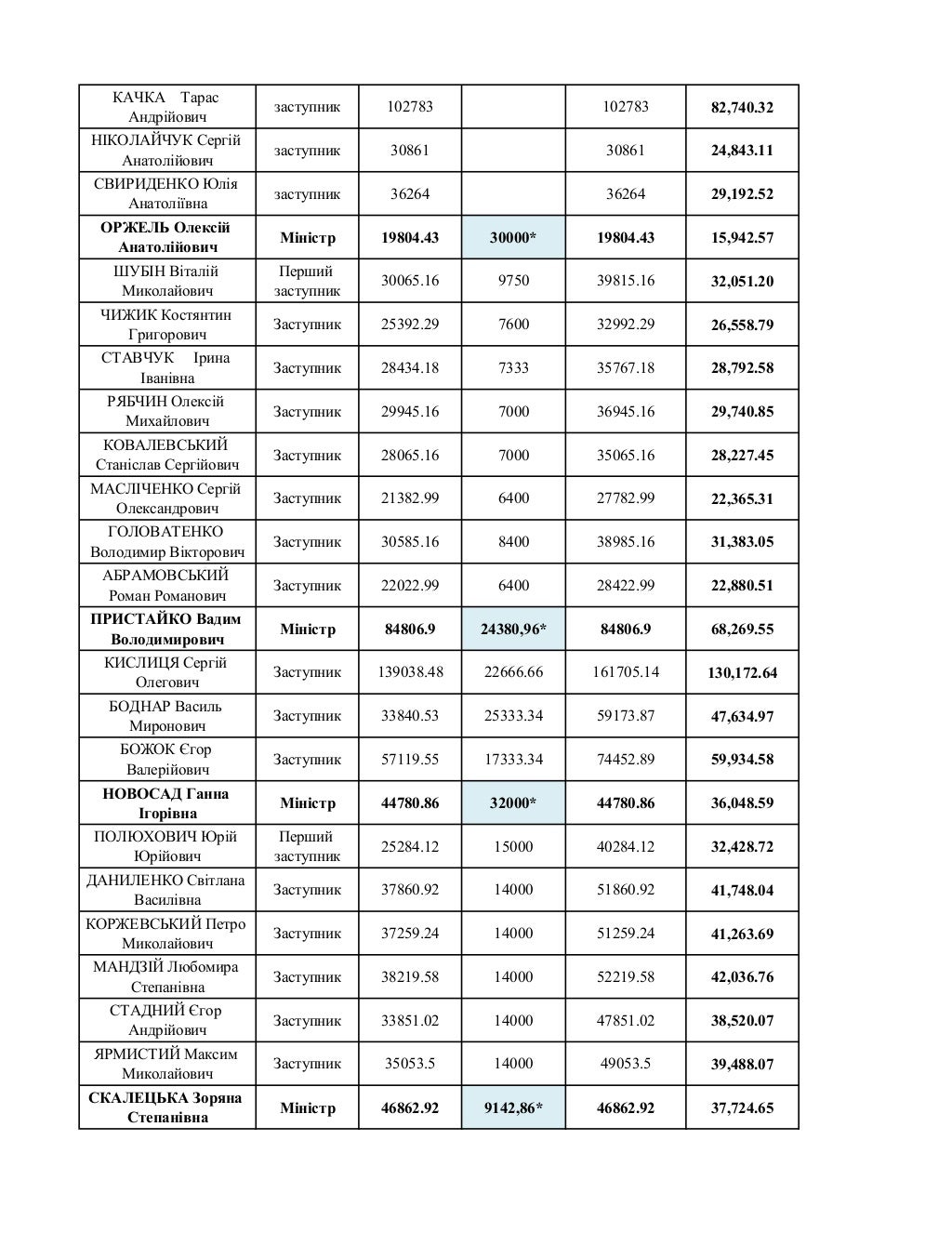
Зарплати міністрів (“чистими”) за січень 2020 року:
- Міністр внутрішніх справ Арсен Аваков – 47290 грн (плюс 30 тис. грн премії в лютому).
- Міністр розвитку економіки, торгівлі та сільського господарства Тимофій Милованов – 41781 грн (плюс 30 тис. грн премії в лютому).
- Міністр енергетики та захисту довкілля Олексій Оржель – 15942 грн (плюс 30 тис. грн премії в лютому).
- Міністр закордонних справ Вадим Пристайко – 68269 грн (плюс 24,3 тис. грн премії в лютому).
- Міністерка освіти і науки Ганна Новосад – 36048 грн (плюс 32 тис. грн премії в лютому).
- Міністерка охорони здоров’я Зоряна Скалецька – 37724 грн (плюс 9,1 тис. грн премії в лютому).
- Міністерка соціальної політики Юлія Соколовська – 40048 грн (плюс 24,3 тис. грн премії в лютому).
- Міністерка фінасів Оксана Маркарова– 45131 грн (плюс 30 тис. грн премії в лютому).
- Міністр інфраструктури Владислав Криклій – 52679 грн.
Міністр культури, молоді та спорту Володимир Бородянський – 43853 грн (плюс 40 тис. грн премії в лютому). - Міністр оборони Андрій Загороднюк – 18644 грн (плюс 30 тис. грн премії в лютому).
- Міністр юстиції Денис Малюська – 16068 грн (плюс 67,2 тис. грн премії в лютому).
- Міністерка у справах ветеранів, тимчасово окупованих територій і внутрішньо переміщених осіб Оксана Коляда – 18888 грн (плюс 25,9 тис. грн премії в лютому).






